Die Effizienz eines Iterationsverfahrens hängt sehr stark von der Anzahl der Iterationsschritte ab, welche zum Erreichen der geforderten Lösungsgenauigkeit erforderlich sind. Aber selbst unter starken Einschränkungen hinsichtlich der Funktionsklasse ist eine allgemeine Charakterisierung der Konvergenzgeschwindigkeit einer bestimmten Methode nicht möglich. Nur in einer - oft sehr kleinen - Umgebung der Lösung können Aussagen über das Konvergenzverhalten einer Folge

dadurch charakterisiert werden, wie sich der absolute Fehler (pro Funktionsauswertung, wobei angenommen wird, daß die Funktionsauswertung einer Funktion f den gleichen Rechenaufwand erfordert wie die Funktionsauswertung der 1. Ableitung von f) wenn k gegen unendlich geht, verkleinert.
siehe auch Konvergenzordnung und Konvergenzbeschleunigung.
Beispiel:
Vergleich zweier Methoden M1 und M2
Gegeben:
Methode: M1 M2
Konvergenzordnung: p q
f-Auswertungen pro Iteration: 3 1
Also 3 Iterationsschritte von M2 erfordern den gleichen Rechenaufwand wie 1 Iterationsschritt von M1.
Gesucht:
Wie groß muß die Ordnung q von M2 sein, damit drei Iterationen dieser Methode dieselbe Genauigkeit liefern wie eine Iteration der ersten Methode?
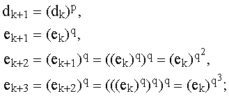
Unter der Annahme a = b = 1 und dk = ek gilt näherungsweise

für dk+1 = ek+3 gilt also p = q3 bzw. q ist die 3. Wurzel von p.
Auf Grund dieser Überlegungen kann man als Effizienz-Kennzahl eines Iterationsverfahrens die Größe

ansehen, wobei m die Anzahl der Funktionsauswertungen pro Iteration und p die Ordnung bezeichnet.
Verfahren: Ordnung: Effizienz-Kennzahl:
Bisektion-Verfahren 1 1
Newton-Verfahren 2 1.414
Sekanten-Verfahren 1.618 1.618
Müller-Verfahren 1.839 1.839
Verfahren mit einer höheren Ordnung sind nicht zwangsläufig auch effizienter.