Beim Newton-Verfahren muß die erste Ableitung f' explizit bekannt sein. In vielen praktischen Fällen ist die erste Ableitung aber nicht explizit verfügbar oder nur sehr aufwendig zu erhalten. In diesen Fällen kann man f'(x(k)) durch einen Differenzenquotienten approximieren:

In der Iteration beim Newton-Verfahren wird statt f'(x(k)) der Näherungswert dk verwendet:

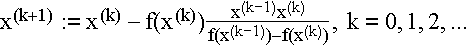
Die Schrittweite hk ist x(k-1)-x(k). Diese Änderung auf der X-Achse dividiert man noch durch die Änderung auf der Y-Achse und man erhält so 1/dk. Dadurch hat das Sekanten-Verfahren folgende Form:


Während beim Newton-Verfahren eine Tangente an f angelegt wird, so verwendet man beim Sekanten-Verfahren eine Sekante als lineare Modellfunktion. Diese Sekante ist die Verbindungsgerade der zwei Punkte (x(k-1), f(x(k-1))) und (x(k), f(x(k))). Der Schnittpunkt mit der X-Achse liefert wieder die neue Näherung x(k+1).
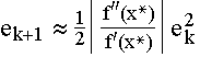
Konvergenz (Sekanten-Verfahren):
Das Newton-Verfahren hat die einfache Struktur x(k+1) = t(x(k)) und ist daher ein stationäres Einschrittverfahren. Das Sekanten-Verfahren ist im Gegensatz dazu ein Zweischrittverfahren der Form x(k+1) = t(x(k), x(k-1)). Das Sekanten-Verfahren hat die Konvergenzordnung

Für das Sekanten-Verfahren gilt in der Nähe einer Nullstelle x* von f

während im Gegensatz dazu beim Newton-Verfahren die Beziehung

besteht.