Iterationsverfahren sind Verfahren, welche zum Lösen nichtlinearer Gleichungen verwendet werden.
Zu diesem Zweck muß man die Gleichungen, sofern sie nicht schon in Fixpunktform vorliegen, durch entsprechende Verfahren in eine geeignete Fixpunktform bringen.


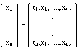
heißt Fixpunkt der obigen Gleichung wenn

gilt.
Beispiel zur Veranschaulichung:
Es ist folgende nichtlineare Gleichung gegeben:

Diese kann nun in folgende Fixpunktform umgewandelt werden:


