Bei der numerischen Lösung des Nullstellenproblems stecken alle Daten in den Werten der Funktion f. Angenommen, das Unterprogramm, das für einen bestimmten Argumentwert x den zugehörigen Funktionswert f ( x ) liefern soll, liefert stattdessen (durch Datenungenauigkeit, Auswertefehler etc.) einen gestörten Wert

Kennt man eine Schranke für die Größe einer Störung

kann man (näherungsweise) aussagen über

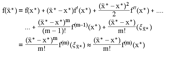
machen, wenn x* die Vielfachheit m hat, dann gilt

Wegen

gilt auch

kann maximal +Epsilon oder -Epsilon sein und dementsprechend

Für

viel grösser als Epsilon. Es muß daher mit einer dramatischen Genauigkeitsverschlechterung gerechnet werden, obwohl der andere Faktor unter Umständen eine kompensierende Wirkung haben kann. Probleme mit mehrfachen Nullstellen sind im allgemeinen hinsichtlich der Ungenauigkeit in f sehr schlecht konditioniert.
Auch die Berechnung einfacher Nullstellen kann schlecht konditioniert sein. Mehrere 'sehr nahe' beisammen gelegene einfache Nullstellen können ähnliche Schwierigkeiten bereiten wie eine Nullstelle mit entsprechender Vielfachheit.
Ungünstige Konditionszahlen können aber nicht nur bei mehrfachen oder eng benachbarten einfachen Nullstellen auftreten.