[ < ] [ globale Übersicht ] [ Kapitelübersicht ] [ Stichwortsuche ] [ > ]

3.8.1 Modell der Gleitpunkt-Zahlendarstellung


In der Programmiersprache Fortran 90, definiert ein Modell die Zahlenmenge der Gleitpnktfunktionen für die Gleitpunkt-Zahlendarstellung aller Plattformen unterschiedlicher Architektur.

Die folgende Zahlenmenge wird in diesem Modell den Gleitpunktzahlen zugrundegelegt:
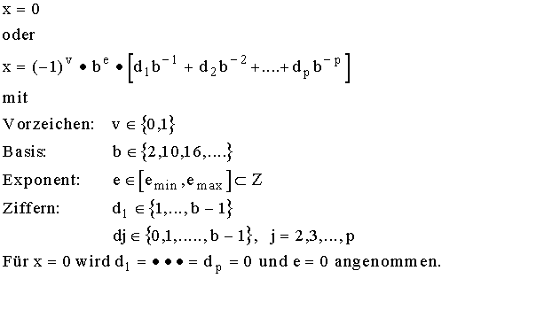
\[x= \left \{begin{array} 0 oder \\ (-1)^v*b^e*[d_1 b^1+d_2 b^-2+ ... + d_p b^-p]
mit Vorzeichen: v \in {0,1}, Basis b \in {2, 10, 16, ...}, Exponent: e \in [e_min, e_max] \in Z
Ziffern: d_1 \in {1,..., b-1}, d_j \in {0,1,..., b-1}, j=2, 3, ..., p \]
Für x = 0 wird d1 =....=dp = 0 und e = 0 angenommen.
Im Gegensatz zu dieser Darstellung, enthält das Exponentenfeld bei der IEC/IEEE-Norm den Wert emin -1 .
In unseren Modellgleitpunktzahlen sind nur die Zahlen FN
des Gleitpunktzahlensystems F enthalten, daß hier nur durch vier ganzzahlige Parameter gekennzeichnet wird:
1.Basis(base,radix) b \ge 2, 2.Mantissenlänge(precision)p \ge 2, 3.Kleinster Exponent e^(min)<0, 4.größter Exponent e^(max)<0.
Diese Parameter können mit Hilfe der folgenden in Fortran 90 vordefinierten Unterprogramme abgefragt werden:

[ < ] [ globale Übersicht ] [ Kapitelübersicht ] [ Stichwortsuche ] [ > ]