[<] [globale Übersicht] [Kapitelübersicht] [Stichwortsuche] [>]
Durch die quadratische Gleichung y2+a1y+a0=0
werden im Fall a21-4a0>0
den beiden Datengrößen a0 und a1, die
beiden Ergebnisgrößen y1 und y2 zugeordnet:

Zur Bestimmung der relativen Konditionszahlen

muß man die partiellen Abbildungen

bilden:
![\[
\frac{\partial y_j}{\partial a_1} = \frac{1}{2}
\left( \pm \frac{a_1}{\sqrt{a_{1}^{2} - 4a_0}} - 1
\right) =
\frac{\pm a_1 - \sqrt{a_{1}^{2} - 4a_0}}%
{2 \sqrt{a_{1}^{2} - 4a_0}} \, ,
\]](b02_24ak.gif)
![\[
\frac{\partial y_1}{\partial a_1} =
-\frac{y_1}{\sqrt{a_{1}^{2} - 4a_0}}, \qquad
\frac{\partial y_2}{\partial a_1} =
\frac{y_2}{\sqrt{a_{1}^{2} - 4a_0}}.
\]](b02_25ak.gif)
Analog erhält man:
![\[
\frac{\partial y_1}{\partial a_0} =
-\frac{1}{\sqrt{a_{1}^{2} - 4a_0}}, \qquad
\frac{\partial y_2}{\partial a_0} =
\frac{1}{\sqrt{a_{1}^{2} - 4a_0}}.
\]](b02_26ak.gif)
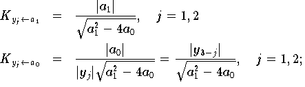
Die Konditionszahlen

sind daher nach ( 2.28 )

bei der letzten Umformung wurde y1.y2=a0 werwendet.
Beschränkt man sich z.B. auf den Fall a0< 0, so ist
![\[ |y_{j}| < \sqrt{a_{1}^{2} - 4 a_0} \qquad \mbox{und} \qquad
|a_{1}| < \sqrt{a_{1}^{2} - 4 a_0}; \]](b02_30ak.gif)
und damit sind alle vier Konditionszahlen kleiner als eins!(gut konditioniert).
Zahlenbeispiel: a1 = 5 a0 = - 0.1 => y1 =
5.01992... y2 = -0.0199206...
Eine Änderung der Daten um 2% : a1 = -4.9 und a0 = -0.098 ändert die Lösung in : y1 = 4.91932... y2 = -0.019919... d.h. ebenfalls um 2% bei y1 und nur um weniger als 0.01% bei y2 !!!