[ < ] [ globale Übersicht ] [ Kapitelübersicht ] [ Stichwortsuche ] [ > ]
Zunächst soll der Fehler eines Interpolationspolynoms Pd, das durch
Formel (7.6.1)

besitzt entsprechend der Interpolationsbedingung (7.6.1) an den Interpolationsknoten
x0 ,x1 ,...,xd Nullstellen; dazwischen können die Werte des Interpolationsfehlers
ed aber beliebig groß werden. Nur wenn zusätzliche Information
über f vorliegt, kann man auch dort Aussagen über die Größe
des Fehlers machen.
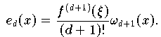
Wird eine Funktion f
Cd+1[a,b] an
den paarweise verschiedenen Knoten a <= x0 ,x1 , ...,xd <= b durch das Polynom Pd interpoliert,
so gibt es fü jedes x
[a ,b] eine Zahl
aus dem kleinsten
Intervall, das alle xi und x enthält, sodaß sich der Fehler des Interpolationspolynoms
an der Stelle x durch
Formel (7.6.2)
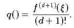
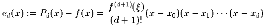
Beweis: Die Eigenschaft der Fehlerfunktion ed, an den Interpolationsknoten
x0 , ...,xd zu verschwinden, läßt sich durch
Formel (7.6.3)
mit einer passenden Funktion q und dem
Knotenpolynom
wd+1
d+1

[a ,b] mit
{ x0 ,x1 , ...,xd } kann man mit wd+1 folgende Hilfsfunktion definieren:
) = 0 und s>(xi) = 0, i = 0,1,...,d
,x0 ,x1 , ...,xd enthält,
hat die Funktion s also d+2 verschiedene Nullstellen. Da ausreichende
Differenzierbarkeit vorausgesetzt wurde, folgt aus dem Satz von Rolle, daß
s' in I mindestens d+1 Nullstellen besitzt. Weiteres Differenzieren
und neuerliche Anwendung des Satzes von Rolle zeigt , daß s'' mindestens
d Nullstellen in I besitzt. Dementsprechend hat schließlich s (d+1) mindestens eine Nullstelle in I, die im folgenden mit
bezeichnet wird.
) eine Konstante ist und 

von s (d+1) nach q(
) auflösen:


Mit einer Betragsschranke für die (d+1)-te Ableitung von f,

Formel (7.6.4)
Formel (7.6.5).
ab. Die günstigste Knotenanordnung bezüglich der Fehlerabschätzung (7.6.5) erhält man, wenn
so klein wie möglich ist. Für die
-Norm sind wegen Satz 9.3.1 (Tschebyscheff) die
Tschebyscheff-Nullstellen die optimalen Interpolationsknoten.
C2[a ,b] durch einen Polygonzug, d.h. durch eine stückweise lineare Interpolationsfunktion auf einer
äquidistanten Knotenmenge (mit dem Stützstellenabstand h=(ba)/d) interpoliert wird, so
folgt aus
4 und approximiert sin(0.14) durch P4(0.14).
Mit![M_5 = \max \limits_{x \in [0, 0.4]} |\sin^{(5)}(x)| = \max \limits_I |\cos(x)| = 1](pic/f07_0639.gif)
.
1, das durch die Punkte (x0 , f( x0)) und (x1 , f( x1)) geht,
ist durch 
.
[x0 , x1] und![M_2 := \max \{ |f''(x)|: x \in [x_0,x_1] \}](pic/f07_0645.gif)
.
.[ < ] [ globale Übersicht ] [ Kapitelübersicht ] [ Stichwortsuche ] [ > ]